Bir ekosistemde besin zinciri aşağıdaki şemada gösterildiği gibidir.

Şemada oklar, besin kaynağı olan gruptan besin alan gruba doğru çizilmiştir.
Buna göre, üretici, birincil tüketici, ikincil tüketici ve ayrıştırıcı canlı grupları, aşağıdakilerin hangisinde doğru olarak verilmiştir?
Birincil İkincil
Üretici Tüketici Tüketici Ayrıştırıcı
Aşağıda karasal ekosisteme ait bir besin ağı verilmiştir. Harflerle belirtilen canlı türleri arasındaki beslenme ilişkileri bağlantı oklarıyla belirtilmiştir.

Bu besin ağıyla ilgili aşağıdakilerden hangisi yanlıştır?
Bir ekosistemde; ölü hayvan kalıntıları (leş) ile beslenen akbabaların sayılarının azaldığı, yumurtadan çıkan yavrularda ölüm oranının arttığı ve popülasyonunun yok olma girdabına yaklaştığı gözlenmiştir.
Akbaba popülasyonunun yok olma girdabına sürüklenmesine;
I. Tarım ürünlerine ve ağaçlara zarar veren böceklere karşı kimyasal mücadele yapılması,
II. Otla beslenen hayvanların sayısının artması,
III. Ayrıştırıcı organizmaların sayısının artması,
IV. Popülasyon içerisindeki genetik çeşitliliğin azalması
Durumlarından hangileri neden olmuş olabilir?
Aşağıda canlılar arasındaki beslenme ilişkilerini gösteren bir arktik besin zinciri verilmiştir.

Bu besin zinciri ile ilgili
I.Kutup ayısındaki biyolojik birikim, leopar fokundan daha azdır.
II.Arktik morina 4. trofik düzeyde yer alır.
III. Leopar fokuna aktarılan enerji, krillere aktarılan enerjiden daha fazladır.
ifadelerinden hangileri doğrudur?
Şekilde farklı besin zincirlerinin bir araya gelerek oluşturduğu bir besin ağı verilmiştir.

Bu besin ağı ile ilgili aşağıdakilerden hangisi söylenemez?
Aşağıda karasal ekosisteme ait bir besin ağı verilmiştir.

Bu besin ağıyla ilgili,
I. Üç trofik düzeyden oluşmaktadır.
II. Alt trofik düzeyden üst trofik düzeylere doğru gidildikçe aktarılan enerji miktarı azalır.
III. İkincil tüketiciler basamağında bulunan canlılar en fazla biyokütleye sahiptir.
İfadelerinden hangileri doğrudur?
Aşağıdaki şekilde bir denizel ekosistemde görülen küçük bir besin ağı verilmiştir.

Şekildeki besin ağı ile ilgili aşağıdaki ifadelerden hangisi yanlıştır?
Canlıların yedikleri besinlerle aldıkları bazı zehirli maddeler, vücutta parçalanmaz ve değişik dokularda birikir. Alt trofik basamaklarda biriken bu maddeler besin zinciri yoluyla üst basamaklara aktarılır ve üst trofik basamaklarda daha yoğun hâle gelir. Bu olaya biyolojik birikim denir.
Buna göre, bir göl ekosistemine karışan bir zehirli maddenin aynı besin zincirinde yer alan aşağıdaki canlılardan hangisinin dokusunda biyolojik birikim daha fazla olur?
Bir deneyde, bir meyve sineği popülasyonu iki gruba ayrılıp nişastalı ve maltozlu besin ortamında 50 kuşak yetiştiriliyor. Farklı besin ortamlarına uyum sağlamış bu gruplara ait bireyler, daha sonra aynı ortamda bir araya getirildiğinde tabloda verilen çiftleşme sayıları elde ediliyor.
Kontrol grubu olarak deney sonuçlarının tutarlılığını sağlamak için nişasta ile beslenmiş iki farklı popülasyon kullanılıyor.

Bu deney, aşağıdakilerden hangisini araştırmak için yapılmış olabilir?
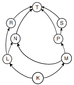
Karasal bir ekosistemde sekiz canlı türü bulunduran besin ağı aşağıdaki gibi şematize edilmiştir. Canlı türleri arasındaki beslenme ilişkileri ise bağlantı oklarıyla belirtilmiştir.

Bu besin ağıyla ilgili aşağıdakilerden hangisi yanlıştır?