Mendel İlkelerine Uyan Durumlar
Monohibrit Çaprazlama
► Bir karakter yönünden zıt özellikte olan 2 homozigot bireyin (DD x dd) çaprazlanması ile tamamı heterozigot (Dd) F1 dölleri elde edilir.
► Elde edilen heterozigot F1 döllerinin (Dd x Dd) kendi aralarında çaprazlanmaları ile (kendileştirilmeleri) F2 dölleri elde edilir.
► Bu çaprazlamaya Monohibrit Çaprazlama denir.
► Homozigot düzgün meyve şekline sahip bezelye (DD) ile buruşuk meyve şekline sahip bezelyenin (dd) çaprazlamasını monohibrit çaprazlamaya örnek verebiliriz.
![]() |
Monohibrit Çaprazlamada Şu Sonuçlar Elde Edilir
|
F1 kuşağındaki bireyler kendileştirildiğinde; • Sarı ve yeşil olmak üzere iki çeşit fenotip elde edilir. • Homozigot sarı (SS), heterozigot sarı (Ss) ve yeşil (ss) olmak üzere üç çeşit genotip elde edilir. • Heterozigot genotipli (Ss) bireylerin oluşma ihtimali %50’dir. Bu oran aynı zamanda oluşan yavruların atasıyla aynı genotipe sahip olma ihtimalini de gösterir. • Çekinik fenotipli (s) bireylerin oluşma ihtimali %25’tir. • Baskın fenotipli (S) bireylerin oluşma ihtimali %75’tir. • Genotip oranı 1:2:1 ve fenotip oranı 3:1’dir. |
1. Genotip Oranı = 1:2:1
2. Fenotip Oranı = 3:1
3. Genotip Çeşidi = 3
4. Fenotip Çeşidi = 2
5. Genotip Sayısı = 4
► Bu sonuçlar dikkate alınarak aynı genotipe sahip 2 bireyin kendileştirilmesi (AaBb x AaBb) çaprazlamalarında;
Genotip çeşidi = 3n
Fenotip çeşidi = 2n
Genotip sayısı = 4n formülleriyle hesaplanır.
► Bu formüller 2 bireyin genotipleri farklı ise (Aabb x aaBb) bu tip çaprazlamalarda kullanılmaz. Bu tip durumlarda her bir karakter ayrı ayrı kendi içinde çaprazlanır. İstenilen sonuçlar bulunur. Sonuçlar biraraya getirilerek çarpılır ve birlikte olma olasılıkları bulunur.
Punnet Karesi
► Punnet Karesi yöntemi; ebeveynlerin oluşturabileceği gametler ile döllenme sonucu oluşabilecek genotip ve fenotip çeşitlerinin daha iyi anlaşılması için kullanılır.
► F1'in oluşturduğu gametler satır ve sütunlara yerleştirilir. Satır ve sütunların kesiştiği kutulara ise yavruların oluşabilecek genotipleri yazılır.
► Yatay sütuna spermler dikey sütuna yumurtalar yerleştirilir.
► Monohibrit çaprazlamayı Punnet Karesi ile de gösterebiliriz.
![]() |
|
Örnek: AaBbCcDD genotipli bir bireyin kendileştirilmesi sonucunda; A) Kaç çeşit genotip oluşur? B) Kaç çeşit fenotip oluşur? Çözüm: a. Tüm karakterler ayrı ayrı çaprazlanır. Elde edilen genotip sayıları çarpılarak sonuç elde edilir.
b. Tüm karakterlerin çaprazlanmasından elde edilen fenotip çeşidi sayıları çarpılarak sonuç elde edilir.
Fenotip ve Genotip Çeşitlerinin Kısa Yoldan Bulunması: Bu yol kendileştirme çaprazlamalarında kullanılır. Bize verilen karakter AaBbCcDD x AaBbCcDD kendileştirmesiydi. Burada 3 tane heterozigot karakter vardır. Yani n sayısı 3'tür. Monohibrit çaprazlama sonucu elde edilen sonuçlardan hareketle; Genotip Çeşidi = 33 = 27 çeşittir. Fenotip Çeşidi = 23 = 8 çeşittir. |
|
Örnek:
|
![]() |
|
|
![]() |
Dihibrit Çaprazlama
► İki karakter yönünden zıt özellikte olan iki homozigot bireyin (SSDD x ssdd) çaprazlanması ile tamamı heterozigot, baskın (SsDd) F1 dölleri elde edilir.
► Elde edilen heterozigot F1 döllerinin kendi aralarında çaprazlanmaları ile F2 dölleri elde edilir. Bu çaprazlamaya Dihibrit Çaprazlama denir.
► Homozigot sarı-düzgün bezelye ile homozigot yeşil-buruşuk tohumlu bezelyenin çaprazlamasında F1 dölünden oluşan bireyler %100 sarı-düzgündür. (Sarı tohum yeşil tohuma, düzgün tohum buruşuk tohuma baskındır.)
![]() |
![]() |
![]() |
![]() |
Kontrol Çaprazlaması (Test Çaprazlaması)
► Fenotipinde çekinik bir özelliği taşıyan bireyin genotipini kesin biliriz. Çünkü homozigot çekinik özelliktedir. (aa, bb gibi)
► Ancak fenotipinde baskın olan bir özelliği taşıyan bireyin genotipi kesin belli değildir. Çünkü ya homozigot ya da heterozigottur.
► Bireyin fenotipindeki baskın özelliği kontrol eden gen çiftinin homozigot mu yoksa heterozigot mu olduğunu belirlemek için yapılan çaprazlamalara Kontrol Çaprazlaması denir.
► Kontrol çaprazlamasıyla genotipi bulunmaya çalışılan birey (AA, Aa genotiplerinden hangisi olduğu) homozigot çekinik birey ile (aa ile) çaprazlanır ve oluşan yavrulara bakılır.

Örnek:
Tavşanlarda siyah kıl rengi (B), beya kıl rengine (b) baskındır. Kıl rengi siyah bir tavşanın genotipini araştıralım.
Siyah kıllı tavşanın genotipi: BB ya da Bb olabilir. Bunu öğrenmek için siyah kıllı tavşan homozigot çekinik genotipli (bb) beyaz tüylü bir tavşan ile çaprazlanır. Çaprazlama sonucunda 2 durum ortaya çıkabilir.
1.Durum: Eğer çaprazlama sonucunda ortaya çıkan tüm bireyler siyah kıllı ise; araştırılan biray homozigot baskın genotiplidir.(BB'dir.)
2. Durum: Çaprazlama sonucunda ortaya çıkan bireylerin %50'si heterozigot siyah kıllı (Bb), %50'si beyaz kıllı (bb) ise genotipi araştırılan birey heterozigot baskındır.

| Kontrol Çaprazlaması; bitki ve hayvanlarda uygulanan ıslah (iyileştirme ve verimi arttırma çalışmaları) yöntemlerinde ve canlıların genotiplerinin tespit edilmesinde kullanılır. |
Mendel İlkelerine Uymayan Durumlar
► Mendel ilkelerine göre; bir karakterin oluşumundan 2 alel (gen) sorumludur.
► Bu alellerden biri baskın diğeri ise çekiniktir.(A, a gibi) Bu duruma Tam Baskınlık denir.
► Günümüzde Mendel ilkelerine uymayan ve bu ilkelerin açıklayamadığı bazı durumlar da vardır.
Bunlar;
1. Eş Baskınlık (Kodominantlık)
2. Çok Alellik
1. Eş Baskınlık (Kodominantlık)
► Bir karakteri belirleyen farklı alellerin fenotipte etkilerini eşit olarak göstermeleridir. Yani alel genlerin fenotipteki etkileri birbirine eşittir.
► Aleller arasında baskınlık çekiniklik durumu yoktur.
► Heterozigot durumda iken her alel eşit oranda etkisini fenotipte gösterir. (Tam baskınlıkta heterozigot durumda baskın olan gen etkisini göstermektedir. Eş baskınlıkta ise iki baskın gen birbiri üzerine baskınlık kuramaz.)
► Oluşan heterozigot birey hem annenin hem de babanın özelliklerini taşır.
► Eş baskın özellik gösteren bir karakterle ilgili olarak, canlının genotipini bulmak için kontrol çaprazlamasına gerek yoktur. Çünkü her fenotipin bir genotipi vardır. Heterozigot olan birey (AB) baskın değil eş baskındır.
Örnek; İnsanda MN kan grubundan sorumlu olan genler arasında eş baskınlık vardır.
![]() |
![]() |
► İnsanların alyuvar zarında M ve N antijenleri bulunur. Ancak bu antijenlere karşı antikor oluşmaz. Bu nedenle kan nakillerinde önemli bir sorun yaratmaz.
![]() |
![]() |
► İnsanda AB kan grubundan sorumlu olan genler arasında da eş baskınlık durumu vardır.
► Homozigot A ve homozigot B gruplu iki birey çaprazlandığında F1 bireylerinin %100'ü AB kan gruplu olur.
Dişi Birey Erkek Birey
AA X BB
A X B
F1: AB %100
![]() |
-
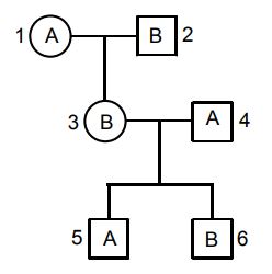
Soru 1.
6278X kromozomunda taşınan çekinik bir özelliğin kalıtım şeması aşağıdaki soyağacında verilmiştir.

K, L, M bireylerinin 1, 2, 3 numarayla gösterilen bireylerle yapacakları evliliklerinden olacak çocuklarda, bu özellikle ilgili,
I. K nin evliliğinden doğacak kız çocukların hiçbirinde bu özellik görülmez.
II. L nin evliliğinden doğacak erkek çocukların hepsinde bu özellik görülür.
III. L nin evliliğinden doğacak kız çocukların hepsi bu özellik yönünden taşıyıcıdır.
IV. M nin evliliğinden doğacak erkek çocukların hiçbirinde bu özellik görülmez.
Yorumlarından hangilerinin doğruluğu kesin değildir?
(2001-Öğrenci Seçme Sınavı (ÖSS))
A. Yalnız II
B. Yalnız IV
C. I ve II
D. I ve III
E. III ve IV
Doğru Cevap İçin Tıklayınız...
Soru 2.
5922Bir tavuk ve horozun çiftleşmesinden elde edilen yumurtalar kuluçkaya alınıyor. Yumurtadan çıkan civcivlerin tüy rengi, ibik biçimi, tepelik şekli ve kuyruk biçimi gibi bazı karakterlere ait özellikler bakımından birbirlerinden farklılık gösterdiği gözlemleniyor.
Civcivler arasındaki bu farklılığın ortaya çıkmasına aşağıdakilerden hangisinin katkı yapması beklenmez?
(2020-YKS-Temel Yeterlilik Testi (TYT))
A. Gametlerin oluşumu sırasında krossing over olayının gerçekleşmesi
B. Mayozda homolog kromozomların şansa bağlı olarak kutuplara gitmesi
C. Her bir civcivin oluşumu için birleşen gametlerin farklı genotipte olması
D. Bir yumurtanın, çok sayıdaki spermden biri tarafından döllenmesi
E. Yumurtaların kuluçka süresince farklı sıcaklıklara maruz kalması
Doğru Cevap İçin Tıklayınız...
Soru 3.
6054Aynı türden kırmızı çiçekli iki bitki arasında yapılan birinci çaprazlama sonucunda 3/4'ü kırmızı çiçekli 1/4'ü beyaz çiçekli olan F1 dölü elde edilmiştir. F1 dölünden alınan kırmızı çiçekli iki bitkiyle yapılan ikinci çaprazlamadan elde edilen F2 dölündeki tüm bitkiler kırmızı çiçekli olmuştur.
Buna göre,
I. Birinci çaprazlamaya alınan bireylerin ikisi de heterozigottur.
II. F1 dölündeki bireylerin bir kısmı homozigot bir kısmı heterozigottur.
III. İkinci çaprazlamaya alınan bireylerin ikisi de heterozigottur.
İfadelerinden hangileri kesinlikle doğrudur?
(2006-Öğrenci Seçme Sınavı (ÖSS))
A. Yalnız I
B. Yalnız II
C. Yalnız III
D. I ve II
E. II ve III
Doğru Cevap İçin Tıklayınız...
Soru 4.
6409Karanfil bitki türüne ait bir popülasyonda kırmızı, pembe ve beyaz renkli çiçeğe sahip bitkiler vardır.
Böyle bir popülasyona ait kırmızı çiçekli bir karanfil bitkisi, beyaz çiçekli bir karanfil bitkisiyle çaprazlandığında, F1 dölünde elde edilen çok sayıdaki bireylerin hepsinin pembe çiçekli olması aşağıdakilerden hangisiyle açıklanabilir?
(2012-Lisans Yerleştirme Sınavı-2 (LYS2))
A. Aleller arasında eksik baskınlığın olmasıyla
B. Aleller arasında eş baskınlığın olmasıyla
C. Mutasyon meydana gelmiş olmasıyla
D. Bazı özelliklerin çok sayıda alel ile kontrol edilmesiyle
E. Kromozomlarda ayrılmama olayının görülmesiyle
Doğru Cevap İçin Tıklayınız...
Soru 5.
6296Kromozom üzerinde meydana gelen aşağıdaki değişikliklerden hangisi krossing over ile ortaya çıkmıştır?
(Harfler kromozom üzerindeki genleri temsil etmektedir.)
(2011-Lisans Yerleştirme Sınavı (LYS))
A.
B.
C.
D.
E.
Doğru Cevap İçin Tıklayınız...
Soru 6.
1873Meyve sineklerinde eşey kromozomları dişilerde XX, erkeklerde XY'dir. Göz renginden sorumlu gen, X kromozomu üzerinde yer alır. Kırmızı göz renginden sorumlu alel (R), beyaz göz renginden sorumlu alele (r) baskındır.
→ Laboratuvarda yapılan bir deneyde kırmızı gözlü bir dişi, beyaz gözlü bir erkekle çaprazlanarak F1 dölü (kırmızı gözlü erkek ve dişi, beyaz gözlü erkek ve dişi bireyler) elde edilmiştir.
→ Deneyin ikinci aşamasında ise F1 dölünden alınan kırmızı gözlü erkek ve dişi birey çaprazlanarak F2 dölü elde edilmiştir.

Bu deneye göre,
I. F1 dölündeki beyaz gözlü erkek ve dişi bireylerin oranı yaklaşık olarak birbirine eşittir.
II. F2 dölünde Beyaz gözlü bireylerin ortaya çıkması beklenmez.
III. F3 dölünde göz rengi fenotipin cinsiyetler arasında dağılım oranı bakımından farklılığın olması beklenir.
Yargılarından hangilerine ulaşılabilir?
(2018-YKS-Temel Yeterlilik Testi (TYT))
A. Yalnız I
B. Yalnız II
C. Yalnız III
D. I ve III
E. I, II ve III
Doğru Cevap İçin Tıklayınız...
Soru 7.
6196Aşağıdaki soyağacında, bireylerin kan gruplarının fenotipleri verilmiştir.

Bu soyağacında numaralarla gösterilen bireylerden hangilerinin kan gruplarının homozigot olma olasılığı vardır?
(2002-Öğrenci Seçme Sınavı (ÖSS))
A. Yalnız 1
B. Yalnız 2
C. 1 ve 4
D. 2 ve 5
E. 3 ve 6
Doğru Cevap İçin Tıklayınız...
Soru 8.
5710Genotipi bilinmeyen dominant fenotipli bir birey ile çekinik fenotipli bir birey arasında yapılan çaprazlama kontrol çaprazlamasıdır.
Buna göre; MİrAY fenotipli bir bireyin genotipini belirlemek için,
I. MMİİRRAAYY
II. MmİiRrAaYy
III. mmiirraayy
Genotiplerine sahip bireylerden hangileri ile ilk olarak çaprazlanmalıdır? Açıklayarak yazınız.
Doğru Cevap İçin Tıklayınız...
Soru 9.
5857Bir bitkide A ve B özelliklerinin kalıtımından sorumlu olan genler, bağlı genlerdir ve birlikte kalıtılma eğilimindedir.
Bir bitkide bu genlerin kromozom üzerindeki dizilimi

şeklindedir.
Bu bitki, çekinik fenotipli bir bitki ile çaprazlandığında,
I. AaBb,
II. Aabb,
III. aaBb,
IV. aabb
Genotiplerine sahip çeşitli sayıda yavrular elde edilmiştir.
Buna göre, bu genotiplerden hangilerine sahip yavruların daha fazla oranda ortaya çıkması beklenir?
(2012-Lisans Yerleştirme Sınavı-2 (LYS2))
A. I ve II
B. I ve IV
C. II ve III
D. II ve IV
E. III ve IV
Doğru Cevap İçin Tıklayınız...
Soru 10.
6801İnsanlarda kan gruplarını, alyuvarlarda bulunan özel proteinler belirler. Kan gruplarının plazmalarında ise alyuvarlarındaki proteinlerle ilgili anti maddeler bulunabilir. A kan grubunun plazmasında Anti B, B kan grubunun plazmasında Anti A bulunur. AB kan grubunun plazmasında bu anti maddelerin hiçbiri bulun- mazken, 0 kan grubunun plazmasında her iki antimadde de bulunur. Bu anti maddeler, karşı oldukları proteinleri içeren kan grubundaki alyuvarların çökelmesine neden olur.
Bir deneyde hangisinin Anti A, hangisinin Anti B olduğu bilinmediği için Anti X ve Anti Y olarak adlandırılan bu maddeler, I, II, III ve IV numaralı kan örneklerine ayrı ayrı uygulanmış ve aşağıdaki tabloda belirtilen çökelme reaksiyonları alınmıştır.

Bu bilgilere dayanarak, kaç numaralı kan örneklerinin, hangi kan grubundan olduğu belirlenemez?
(2003-Öğrenci Seçme Sınavı (ÖSS))
A. I ve II
B. II ve III
C. III ve IV
D. I, II ve III
E. I, II ve IV
Doğru Cevap İçin Tıklayınız...



















